Intersection of Two Linked Lists
Example 1:
Input:
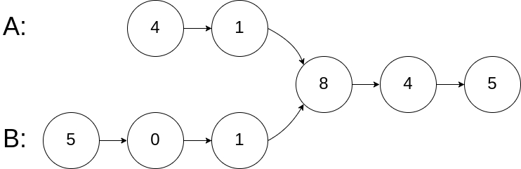
intersectVal = 8, listA = [4,1,8,4,5], listB = [5,0,1,8,4,5], skipA = 2, skipB = 3
Output:
Reference of the node with value = 8
Input Explanation:
The intersected node's value is 8 (note that this must not be 0 if the two lists intersect). From the head of A, it reads as [4,1,8,4,5]. From the head of B, it reads as [5,0,1,8,4,5]. There are 2 nodes before the intersected node in A; There are 3 nodes before the intersected node in B.Example 2:
Input:
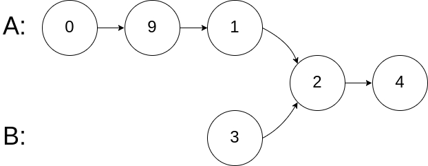
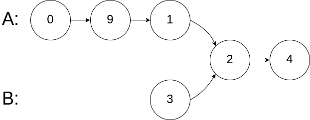
intersectVal = 2, listA = [0,9,1,2,4], listB = [3,2,4], skipA = 3, skipB = 1
Output:
Reference of the node with value = 2
Input Explanation:
The intersected node's value is 2 (note that this must not be 0 if the two lists intersect). From the head of A, it reads as [0,9,1,2,4]. From the head of B, it reads as [3,2,4]. There are 3 nodes before the intersected node in A; There are 1 node before the intersected node in B.Example 3:
Input:
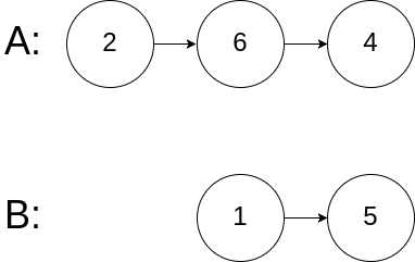
intersectVal = 0, listA = [2,6,4], listB = [1,5], skipA = 3, skipB = 2
Output:
null
Input Explanation:
From the head of A, it reads as [2,6,4]. From the head of B, it reads as [1,5]. Since the two lists do not intersect, intersectVal must be 0, while skipA and skipB can be arbitrary values.
Explanation:
The two lists do not intersect, so return null.# Definition for singly-linked list.
# class ListNode(object):
# def __init__(self, x):
# self.val = x
# self.next = None
class Solution(object):
def getIntersectionNode(self, headA, headB):
"""
:type head1, head1: ListNode
:rtype: ListNode
"""
# if not headA or not headB:
# return None
# endB = headB
# while endB.next:
# endB = endB.next
# endB.next = headB
# slow = quick = headA
# while quick and quick.next:
# slow = slow.next
# quick = quick.next.next
# if slow == quick:
# break
# if not quick or not quick.next:
# endB.next = None
# return None
# slow = headA
# while slow and slow != quick:
# slow = slow.next
# quick = quick.next
# endB.next = None
# return slow
pa, pb = headA, headB
while pa != pb:
pa = headB if not pa else pa.next
pb = headA if not pb else pb.next
return paLast updated
Was this helpful?


