All Paths from Source Lead to Destination





Last updated





Last updated
Input:
n = 3, edges =
[[0,1],[0,2]]
, source =
0
, destination = 2
Output:
false
Explanation:
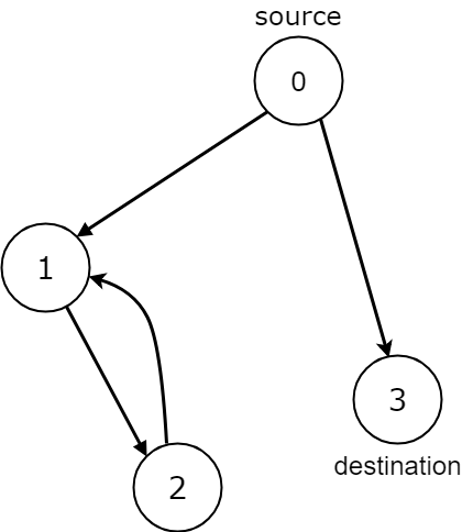
It is possible to reach and get stuck on both node 1 and node 2.Input:
n =
4
, edges =
[[0,1],[0,3],[1,2],[2,1]]
, source =
0
, destination =
3
Output:
false
Explanation:
We have two possibilities: to end at node 3, or to loop over node 1 and node 2 indefinitely.Input:
n =
4
, edges =
[[0,1],[0,2],[1,3],[2,3]]
, source =
0
, destination =
3
Output:
trueInput:
n =
3
, edges =
[[0,1],[1,1],[1,2]]
, source =
0
, destination =
2
Output:
false
Explanation:
All paths from the source node end at the destination node, but there are an infinite number of paths, such as 0-1-2, 0-1-1-2, 0-1-1-1-2, 0-1-1-1-1-2, and so on.Input:
n =
2
, edges =
[[0,1],[1,1]]
, source =
0
, destination =
1
Output:
false
Explanation:
There is infinite self-loop at destination node.The given graph may have self loops and parallel edges.
The number of nodes n in the graph is between 1 and 10000
The number of edges in the graph is between 0 and 10000
0 <= edges.length <= 10000
edges[i].length == 2
0 <= source <= n - 1
0 <= destination <= n - 1class Solution:
def leadsToDestination(self, n: int, edges: List[List[int]], source: int, destination: int) -> bool:
g = {}
for a,b in edges:
g.setdefault(a,[]).append(b)
if destination in g:
return False
def dfs(root,path):
if root not in g:
return root == destination
path.add(root)
for n in g[root]:
if n in path or not dfs(n,path):
return False
path.remove(root)
return True
return dfs(source,set())
。