129. Sum Root to Leaf Numbers
DFS TREE
You are given the root of a binary tree containing digits from 0 to 9 only.
Each root-to-leaf path in the tree represents a number.
- For example, the root-to-leaf path - 1 -> 2 -> 3represents the number- 123.
Return the total sum of all root-to-leaf numbers. Test cases are generated so that the answer will fit in a 32-bit integer.
A leaf node is a node with no children.
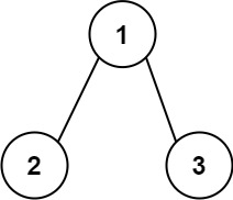
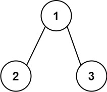
Example 1:

Input: root = [1,2,3]
Output: 25
Explanation:
The root-to-leaf path 1->2 represents the number 12.
The root-to-leaf path 1->3 represents the number 13.
Therefore, sum = 12 + 13 = 25.Example 2:

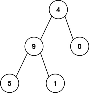
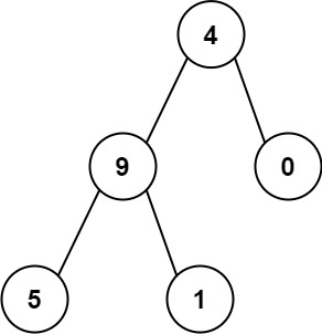
Input: root = [4,9,0,5,1]
Output: 1026
Explanation:
The root-to-leaf path 4->9->5 represents the number 495.
The root-to-leaf path 4->9->1 represents the number 491.
The root-to-leaf path 4->0 represents the number 40.
Therefore, sum = 495 + 491 + 40 = 1026.
Constraints:
- The number of nodes in the tree is in the range - [1, 1000].
- 0 <= Node.val <= 9
- The depth of the tree will not exceed - 10.
分析
全部res存结果,每条树path存数字,到叶节点时候就加入res
- 深度优先搜索 (DFS): - 从根节点开始遍历,维护当前路径的数字( - current_num)。
- 遇到叶节点时(左右子节点均为 - None),将- current_num加入总和。
 
- 递归参数: - node: 当前节点。
- current_num: 当前路径表示的数字(父节点传递的数字 * 10 + 当前节点值)。
 
- 终止条件: - 当前节点为 - None时返回。
- 当前节点为叶节点时,累加 - current_num到结果。
 
# Definition for a binary tree node.
# class TreeNode:
#     def __init__(self, val=0, left=None, right=None):
#         self.val = val
#         self.left = left
#         self.right = right
class Solution:
    def sumNumbers(self, root: Optional[TreeNode]) -> int:
        res = 0
        def dfs(root, path):
            nonlocal res
            if not root:
                return
            path = path*10 + root.val
            if not root.left and not root.right:  # Only add at leaf nodes
                res += path
                return
            dfs(root.left, path)
            dfs(root.right, path)
            
        dfs(root, 0)
        return res
# Definition for a binary tree node.
# class TreeNode:
#     def __init__(self, val=0, left=None, right=None):
#         self.val = val
#         self.left = left
#         self.right = right
class Solution:
    def sumNumbers(self, root: Optional[TreeNode]) -> int:
        def dfs(node, current_num):
            if not node:
                return 0
            current_num = current_num * 10 + node.val
            if not node.left and not node.right:
                return current_num
            return dfs(node.left, current_num) + dfs(node.right, current_num)
        
        return dfs(root, 0)Last updated
Was this helpful?