543. Diameter of Binary Tree
Recursive Tree
Given the root of a binary tree, return the length of the diameter of the tree.
The diameter of a binary tree is the length of the longest path between any two nodes in a tree. This path may or may not pass through the root.
The length of a path between two nodes is represented by the number of edges between them.
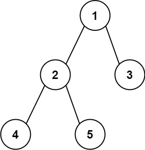
Example 1:

Input: root = [1,2,3,4,5]
Output: 3
Explanation: 3 is the length of the path [4,2,1,3] or [5,2,1,3].Example 2:
Input: root = [1,2]
Output: 1
Constraints:
- The number of nodes in the tree is in the range - [1, 10- 4- ].
- -100 <= Node.val <= 100
分析
求最长的线段,# of nodes - 1
递归函数不断更新最长边长,返回高度
from typing import Optional
class TreeNode:
    def __init__(self, val=0, left=None, right=None):
        self.val = val
        self.left = left
        self.right = right
class Solution:
    def diameterOfBinaryTree(self, root: Optional[TreeNode]) -> int:
        res = 0
        def helper(root):
            nonlocal res
            if not root:
                return 0
            left = helper(root.left)
            right = helper(root.right)
            res = max(res, left + right) #count edges, not nodes
            return 1 + max(left, right) #return height(# of nodes)
        helper(root) 
        return res
Last updated
Was this helpful?