536. Construct Binary Tree from String
recursive, double return
You need to construct a binary tree from a string consisting of parenthesis and integers.
The whole input represents a binary tree. It contains an integer followed by zero, one or two pairs of parenthesis. The integer represents the root's value and a pair of parenthesis contains a child binary tree with the same structure.
You always start to construct the left child node of the parent first if it exists.
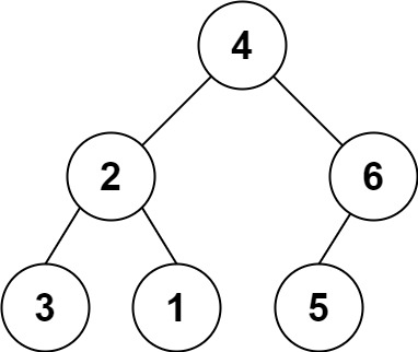
Example 1:

Input: s = "4(2(3)(1))(6(5))"
Output: [4,2,6,3,1,5]Example 2:
Input: s = "4(2(3)(1))(6(5)(7))"
Output: [4,2,6,3,1,5,7]Example 3:
Input: s = "-4(2(3)(1))(6(5)(7))"
Output: [-4,2,6,3,1,5,7]Constraints:
- 0 <= s.length <= 3 * 10- 4
- sconsists of digits,- '(',- ')', and- '-'only.
- All numbers in the tree have value at most than - 2- 30.
分析
问题描述
给定一个字符串 s,表示一棵二叉树的 前序遍历 序列化形式,要求将其还原为一棵二叉树。字符串的格式规则如下:
- 节点值可能为 负数 或 多位数。 
- 如果节点有子节点,则用 - (左子树)(右子树)表示;如果没有子节点,则省略括号。
- 找到根节点值: - 从当前字符开始,读取所有连续的数字(包括符号),解析为 - root.val。
 
- 处理左子树: - 如果遇到 - (,递归构建左子树。
 
- 处理右子树: - 如果左子树处理完后还有 - (,递归构建右子树。
 
- 终止条件: - 遇到 - )或字符串结束,返回当前节点。
 
# Definition for a binary tree node.
# class TreeNode:
#     def __init__(self, val=0, left=None, right=None):
#         self.val = val
#         self.left = left
#         self.right = right
class Solution:
    def str2tree(self, s: str) -> Optional[TreeNode]:
        n = len(s)
        def helper(s, index):
            if index >= len(s) or s[index] == ')':
                return None, index
            sign = 1
            if s[index] == '-':
                sign = -1
                index += 1
            num = 0
            while index < len(s) and s[index].isdigit():
                num = num*10 + int(s[index])
                index += 1
            num = sign*num
            root = TreeNode(num)
            if index < n and s[index] == '(':
                root.left, index = helper(s, index+1)
            if root.left and index < n and s[index] == '(':
                root.right, index = helper(s, index+1)
            if index < len(s) and s[index] == ')':
                index += 1
            return root, index
        if not s:
            return None
        return helper(s,0)[0]
Last updated
Was this helpful?