938. Range Sum of BST
DFS TREE
Given the root node of a binary search tree and two integers low and high, return the sum of values of all nodes with a value in the inclusive range [low, high].
Example 1:

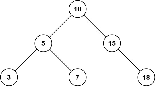
Input: root = [10,5,15,3,7,null,18], low = 7, high = 15
Output: 32
Explanation: Nodes 7, 10, and 15 are in the range [7, 15]. 7 + 10 + 15 = 32.Example 2:

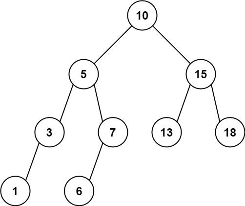
Input: root = [10,5,15,3,7,13,18,1,null,6], low = 6, high = 10
Output: 23
Explanation: Nodes 6, 7, and 10 are in the range [6, 10]. 6 + 7 + 10 = 23.
Constraints:
- The number of nodes in the tree is in the range - [1, 2 * 10- 4- ].
- 1 <= Node.val <= 10- 5
- 1 <= low <= high <= 10- 5
- All - Node.valare unique.
分析
判断根在不在范围内,在的话返回root+left+right, 否则按照范围返回左或者右
# Definition for a binary tree node.
# class TreeNode:
#     def __init__(self, val=0, left=None, right=None):
#         self.val = val
#         self.left = left
#         self.right = right
class Solution:
    def rangeSumBST(self, root: Optional[TreeNode], low: int, high: int) -> int:
        def dfs(root):
            if not root:
                return 0
            if low<=root.val <= high:
                return root.val + dfs(root.left) + dfs(root.right)
            elif root.val<low:
                return dfs(root.right)
            else:
                return dfs(root.left)
        return dfs(root)
Last updated
Was this helpful?